beat365在线唯一官网
网络安全与信息化中心
网站首页
部门简介
网络信息化
新闻动态
网络安全
政策法规
党建风采
下载中心
通知公告
当前位置:
首页
通知公告
通知公告
10/23
2025年
beat365在线唯一官网微软正版化服务单一来源采购公示
2025/10/23
一、项目信息采购人:beat365在线唯一官网项目名称:微软正版化服务采购项目说明:beat365在线唯一官网网络安全与信息...
09/22
2025年
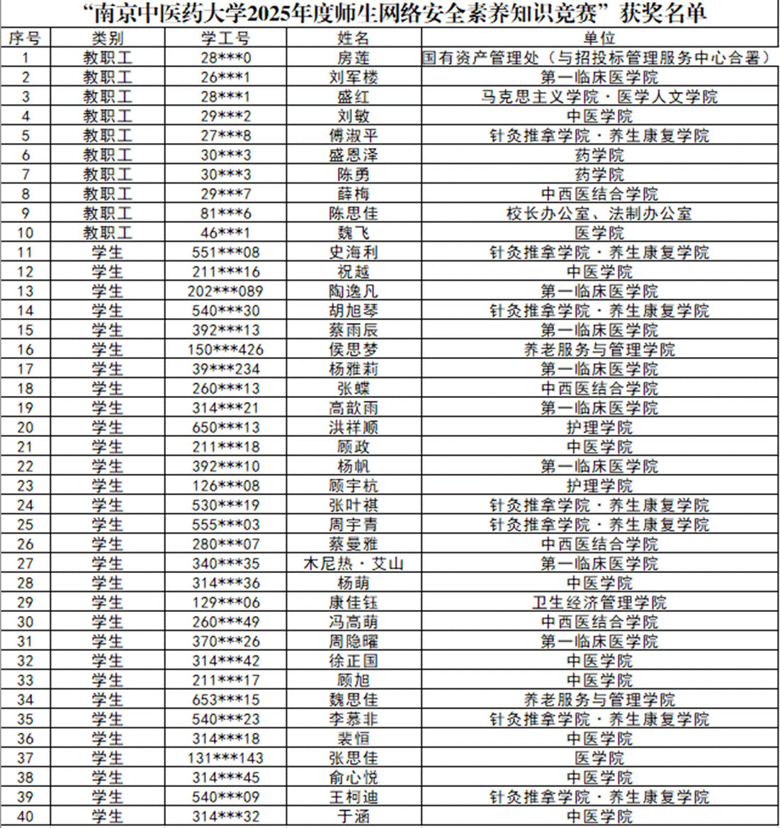
关于公布“beat365在线唯一官网2025年度师生网络安全素养知识竞赛”获奖名单的通知
2025/09/22
为深入贯彻《省教育厅办公室关于开展2025年江苏省教育系统网络安全宣传周校园日活动的通知》精神,进一步增...
08/25
2025年
校园网络及信息化新生常见问题解答手册
2025/08/25
校园网络及信息化新生常见问题解答手册.pdf
05/15
2025年
关于发布《业务系统数据回流与共享工作细则(试行)》的通知
2025/05/15
各部门、各学院、各单位:为进一步加强学校信息化数据管理,完善学校数据中心的数据覆盖范围,建立健全权责...
11/11
2024年
关于进一步加强邮件系统安全管理的通知
2024/11/11
全体师生:为贯彻落实教育厅、教育网信办等部门关于网络安全的工作要求,进一步加强校园邮件系统安全管理,...
09/18
2024年
关于公布“beat365在线唯一官网2024年度师生网络安全素养知识竞赛”获奖名单的通知
2024/09/18
为深入贯彻《省教育厅办公室关于开展2024年江苏省教育系统网络安全宣传周校园日活动的通知》精神,进一步增...
07/10
2024年
关于“综合服务门户”系统升级的通知
2024/07/10
为进一步提高信息化服务水平,提升综合服务门户系统平台的稳定性和安全性,网络安全与信息化中心定于7月12...
05/09
2024年
关于网络安全承诺书签署及更新网络安全员的通知
2024/05/09
各部门、各学院、各单位:为深入贯彻落实江苏省教育系统党委(党组)网络安全责任制考核的相关要求,进一步...
04/30
2024年
关于上网账号规范化清理工作的通知
2024/04/30
各校园网用户:为加强校园网安全管理,根据《中华人民共和国网络安全法》、《中华人民共和国个人信息保护法...
08/02
2022年
2022年江苏省网络安全宣传创意大赛启动
2022/08/02
为切实做好常态化网络安全宣传教育,提升全民网络安全意识和防护能力,有效引导全社会力量共筑网络安全防线...
03/04
2022年
关于Windows 11和Office 2021版本上线的通知
2022/03/04
关于Windows 11和Office 2021版本上线的通知全体师生:为更好地服务师生,满足在校师生对桌面操作系统以及...
10/09
2021年
2021年江苏省教育系统网络安全宣传周网络知识竞答活动通知
2021/10/09
各部门、各学院、各单位: 根据中共江苏省委网信办印发的《2021年江苏省网络安全宣传周活动实施方案》要求...
09/19
2019年
国家网络安全宣传周——如何应对常见网络安全风险(二)
2019/09/19
09/19
2019年
国家网络安全宣传周——如何应对常见网络安全风险(一)
2019/09/19
每页
14
记录
总共
21
记录
第一页
<<上一页
下一页>>
尾页
页码
1
/
2
跳转到